SOLUTION: Could a friendly soul please assist with this problem: Bless your heart. I need to understand work process and how answer was gotten. Thankyou. Solve: 1/x-1 + 2/x = x/x-1

Algebra ->  Polynomials-and-rational-expressions -> SOLUTION: Could a friendly soul please assist with this problem: Bless your heart. I need to understand work process and how answer was gotten. Thankyou. Solve: 1/x-1 + 2/x = x/x-1       Log On


   



Question 692957: Could a friendly soul please assist with this problem: Bless your heart. I need to understand work process and how answer was gotten. Thankyou.
Solve: 1/x-1 + 2/x = x/x-1
Rational Equation

Found 2 solutions by jim_thompson5910, MathTherapy:
Answer by jim_thompson5910(35256) About Me  (Show Source):
You can put this solution on YOUR website!
1%2F%28x-1%29+%2B+2%2Fx+=+x%2F%28x-1%29+

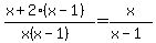
x%2F%28x%28x-1%29%29+%2B+2%2Fx+=+x%2F%28x-1%29+

x%2F%28x%28x-1%29%29+%2B+2%28x-1%29%2F%28x%28x-1%29%29+=+x%2F%28x-1%29+

%28x+%2B+2%28x-1%29%29%2F%28x%28x-1%29%29+=+x%2F%28x-1%29+

%28x+%2B+2x-2%29%2F%28x%28x-1%29%29+=+x%2F%28x-1%29+

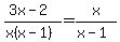
%283x-2%29%2F%28x%28x-1%29%29+=+x%2F%28x-1%29+

%28x-1%29%2A%283x-2%29%2F%28x%28x-1%29%29+=+%28x%2F%28x-1%29%29%2A%28x-1%29+

%283x-2%29%2Fx+=+x+

3x-2+=+x%2Ax+

3x-2+=+x%5E2+

I'll let you finish. Make sure to check all possible answers.

Answer by MathTherapy(10555) About Me  (Show Source):
You can put this solution on YOUR website!

Could a friendly soul please assist with this problem: Bless your heart. I need to understand work process and how answer was gotten. Thankyou.
Solve: 1/x-1 + 2/x = x/x-1
Rational Equation

1%2F%28x+-+1%29+%2B+2%2Fx+=+x%2F%28x+-+1%29

** Note that x+%3C%3E+1, or x+%3C%3E+0, since these values would render fractions in the equation as UNDEFINED.

x+%2B+2%28x+-+1%29+=+x%5E2 ------ Multiplying by LCD, x(x - 1)

x+%2B+2x+-+2+=+x%5E2

3x+-+2+=+x%5E2

x%5E2+-+3x+%2B+2+=+0

(x - 1)(x - 2) = 0

x = 1 = 0, or x = 1

As explained above, x+%3C%3E+1, so

x - 2 = 0, or highlight_green%28x+=+2%29

You can do the check!!

Send comments and “thank-yous” to “D” at MathMadEzy@aol.com