SOLUTION: Could you please give me some direction in solving a complex expression involving polynomials with negative exponents? I've placed the specific expression below, and I've been ask

Algebra ->  Polynomials-and-rational-expressions -> SOLUTION: Could you please give me some direction in solving a complex expression involving polynomials with negative exponents? I've placed the specific expression below, and I've been ask      Log On


   



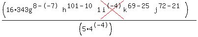
Question 691274: Could you please give me some direction in solving a complex expression involving polynomials with negative exponents? I've placed the specific expression below, and I've been asked to present an answer in which all exponents need to be positive. I've multiplied the factors involved in both the numerator and denominator, adding and subtracting exponents as needed. I know it's very lengthy, but--in general, I think I followed the rules correctly. I ended up with "i^-46" in the numerator, so I flipped it into the denominator. Here's the expression:
(16g^-7h^8i^-21j^0k^9)(h^-5j^-6)^-12(7g^5h^11i^-1k^20)^3/(5g^-7h^14i^-30j^1k^9)(4h^1i^2j^-5k^-4)^-4
Here is my best answer: 878080000g^15h^91j^51k^76/i^46
Am I even in the neighborhood with my answer?
Thank you so much for your time.

Found 2 solutions by MathTherapy, Alan3354:
Answer by MathTherapy(10555) About Me  (Show Source):
You can put this solution on YOUR website!
Could you please give me some direction in solving a complex expression involving polynomials with negative exponents? I've placed the specific expression below, and I've been asked to present an answer in which all exponents need to be positive. I've multiplied the factors involved in both the numerator and denominator, adding and subtracting exponents as needed. I know it's very lengthy, but--in general, I think I followed the rules correctly. I ended up with "i^-46" in the numerator, so I flipped it into the denominator. Here's the expression:
(16g^-7h^8i^-21j^0k^9)(h^-5j^-6)^-12(7g^5h^11i^-1k^20)^3/(5g^-7h^14i^-30j^1k^9)(4h^1i^2j^-5k^-4)^-4
Here is my best answer: 878080000g^15h^91j^51k^76/i^46
Am I even in the neighborhood with my answer?
Thank you so much for your time.



















%28%2816+%2A+343g%5E15h%5E91k%5E44j%5E51%29%29%2F%28%285+%2A+4%5E-+4%29%29 ---- %28%284%5E2+%2A+343g%5E15h%5E91k%5E44j%5E51%29%29%2F%28%285+%2A+4%5E-+4%29%29 ----- %28%284%5E%282+-+-+4%29+%2A+343g%5E15h%5E91k%5E44j%5E51%29%29%2F5%29

highlight_green%28%28%284%5E6+%2A+343g%5E15h%5E91k%5E44j%5E51%29%29%2F5%29%29, or highlight_green%28%281404928g%5E15h%5E91k%5E44j%5E51%29%2F5%29%29

This is what I came up with. I don't believe that there are any errors, but you need to check every line of calculation.

THIS WAS AN EXTREMELY EXCRUCIATING AND EXTENSIVE SIMPLIFICATION PROBLEM. After working this problem I was too tired to check it, so you can check it to see if I'm correct or you are.

Send comments and “thank-yous” to “D” at MathMadEzy@aol.com

Answer by Alan3354(69443) About Me  (Show Source):