SOLUTION: divide 2x^3-3x^2-x-2 by x-2 using long division

Algebra ->  Polynomials-and-rational-expressions -> SOLUTION: divide 2x^3-3x^2-x-2 by x-2 using long division      Log On


   



Question 691183: divide 2x^3-3x^2-x-2 by x-2 using long division
Answer by ReadingBoosters(3246) About Me  (Show Source):
You can put this solution on YOUR website!
(x-2) goes into 2x%5E3-3x%5E2: 2x%5E2
to get
2x%5E3-4x%5E2
subtracting
2x%5E3+-+2x%5E3+-+3x%5E2+-+4x%5E2
yielding
-7x%5E2
...
(x-2) goes into -7x%5E2-x: -7x
to get
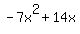
-7x%5E2+%2B+14x
subtracting
-7x%5E2+-+-7x%5E2+-+x+-+14x
yielding
-15x
...
(x-2) goes into -15x -2: -15
to get
-15x + 30
subtracting
-15x - -15x - 2 - 30
yielding
-32
...
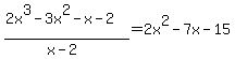
%282x%5E3-3x%5E2-x-2%29%2F%28x-2%29+=+2x%5E2-7x+-+15 -32%2F%28x-2%29
…………………………….
Have more questions? Get them all answered at once.
HomeworkHelpers@ReadingBoosters.com
Individualized Coaching: www.MyHomeworkAnswers.com
--Reading Boosters