SOLUTION: Please help me with my equation? Multiply and simplify to lowest terms. x^2/x^2+1 times x+12/x Thanks.

Algebra ->  Polynomials-and-rational-expressions -> SOLUTION: Please help me with my equation? Multiply and simplify to lowest terms. x^2/x^2+1 times x+12/x Thanks.      Log On


   



Question 682877: Please help me with my equation?
Multiply and simplify to lowest terms.
x^2/x^2+1 times x+12/x
Thanks.

Answer by ReadingBoosters(3246) About Me  (Show Source):
You can put this solution on YOUR website!
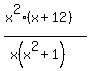
%28x%5E2%2F%28x%5E2%2B1%29%29%28%28x%2B12%29%2Fx%29
...
%28x%5E2%28x%2B12%29%29%2F%28x%28x%5E2%2B1%29%29
...
%28x%28x%2B12%29%29%2F%28x%5E2%2B1%29
...
%28x%5E2-12x%29%2F%28x%5E2%2B1%29
..............................
Have more questions?
HomeworkHelpers@ReadingBoosters.com.
Delighted to help!
-Reading Boosters
Website: www.MyHomeworkAnswers.com