SOLUTION: I need help solving this operation and then writing it in standard form. (1+i)^17/(1-i)^16

Algebra ->  Polynomials-and-rational-expressions -> SOLUTION: I need help solving this operation and then writing it in standard form. (1+i)^17/(1-i)^16      Log On


   



Question 682346: I need help solving this operation and then writing it in standard form.
(1+i)^17/(1-i)^16

Found 2 solutions by lynnlo, Edwin McCravy:
Answer by lynnlo(4176) About Me  (Show Source):
You can put this solution on YOUR website!
answer in standard form
1+i

Answer by Edwin McCravy(20060) About Me  (Show Source):
You can put this solution on YOUR website!
Here it is broken all the way down:

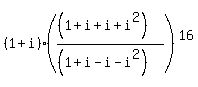
%281%2Bi%29%5E17%2F%281-i%29%5E16

Write the numerator as %281%2Bi%29%5E1%281%2Bi%29%5E16 or %281%2Bi%29%281%2Bi%29%5E16

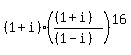
%281%2Bi%29%281%2Bi%29%5E16%2F%281-i%29%5E16

Then as

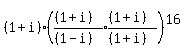
%281%2Bi%29%28%28%281%2Bi%29%29%2F%28%281-i%29%29%29%5E16

Now we rationalize the denominator inside the parentheses
of base of the 16 power:







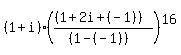
%281%2Bi%29%0D%0A%0D%0A%0D%0A%28expr%28+++%281%2B2i-1%29%2F2%29%0D%0A%0D%0A%0D%0A%29%5E16

%281%2Bi%29%0D%0A%0D%0A%0D%0A%28expr%28+++%282i%29%2F2%29%0D%0A%0D%0A%0D%0A%29%5E16

%281%2Bi%29i%5E16

%281%2Bi%29%28i%5E2%29%5E8

%281%2Bi%29%28-1%29%5E8

%281%2Bi%29%2A1

1%2Bi

Edwin