|
Question 678415: (4a^4-8a^3-3a^2+13a-6)/(2a^3-a^2-3a+2)
Answer by jsmallt9(3758) (Show Source):
You can put this solution on YOUR website! First of all, please include the directions for the problem. I'm just guessing that the we are supposed to reduce/simplify this fraction. If I'm wrong then you will need to re-post your question. (On a positive note, nice use of parentheses to make the numerator and denominator clear!)

Reducing fractions like this is actually just like reducing fractions from the days when fractions were just simply 12/64: You look for factors of the numerator and denominator that are the same and can be canceled out. What is different (and harder) is finding the factors.
So we start by factoring the numerator and denominator. I'm going to start with the denominator:

At this point you should have been introduced to 5 different techniques for factoring: GCF, patterns, trinomial, grouping and trial and error of the possible rational roots. When factoring you (always) start with the GCF. Then you try any and all of the other methods, multiple times perhaps, until the expression is as factored as you can get it.
The GCF of the denominator is 1. And we rarely bother factoring out a 1. The denominator has too many terms for factoring with patterns or for trinomial factoring. Factoring by grouping requires an even number of terms but I do not see a way to make it work. So we are left with trial and error of the possible rational roots.
The possible rational roots of a polynomial are all the possible ratios, positive and negative, that can be formed using a factor of the constant term (at the end) over a factor of the leading coefficient (in front of the highest power term which is usually at the front. The constant term and the leading coefficient are both 2's (coincidentally). This makes the possible rational roots:
+1/1, +1/2, +2/1
which simplify to:
+1, +1/2, +2
If one of these is actually a root then "d*a - n" (where "n" and "d" are the numerator and denominator of the rational root) will be a factor of the polynomial. We usually use synthetic division to test for these roots. First we'll try 1:
1 | 2 -1 -3 2
--- 2 1 -2
----------------
2 1 -2 0
The zero in the lower right corner is the remainder. A zero remainder means that a-1 is a factor! And the rest of the bottom row tells us what the other factor is. The "2 1 -2" translates into . So
. The second factor is a quadratic and we can try patterns, trinomial factoring or possible roots to try to factor it. But none of these work. So we have factored the denominator as much as possible. Now our fraction is:

Now we will try to factor the numerator. Again we have a GCF of 1 and only trying possible roots can work. The possible rational roots of the numerator are:
+1/1, +2/1, +3/1, +6/1, +1/2, +3/2, +1/4, +3/4
which simplify to:
+1, +2, +3, +6, +1/2, +3/2, +1/4, +3/4
Again we will start by trying 1:
1 | 4 -8 -3 13 -6
--- 4 -4 -7 6
----------------------
4 -4 -7 6 0
So a-1 is a factor and the other factor is . We can try 1 again. (a-1) could be a factor multiple times! This time we divide just the second factor:
1 | 4 -4 -7 6
--- 4 0 -7
-----------------
4 0 -7 -1
A remainder of -1, a-1 is not a factor (again). Let's try -1:
-1 | 4 -4 -7 6
---- -4 8 -1
-----------------
4 -8 1 5
A remainder of 5. a-(-1) (or just a+1) is not a factor. (Do you see why it is called trial and error?). Let's "accidentally" try 3/2:
3/2 | 4 -4 -7 6
---- 6 3 -6
-----------------
4 2 -4 0
3/2 is a root! So 2a-3 is a factor. The other factor is a little tricky. It is not as one might think. Our root has a denominator that is not 1. In this case we need to divide the coefficients of the other factor by this denominator. So the other factor is (which we've seen earlier and from that we know that it will not factor further).
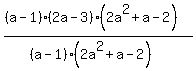
So our fully-factored fraction is:

And we can see factors that are common to both the numerator and denominator that can be cancelled:

leaving:

which simplifies to just:

So

reduces to
|
|
|
| |