SOLUTION: x/x^2+2x-8 - 2/x^2+2x-8
Algebra
->
Polynomials-and-rational-expressions
-> SOLUTION: x/x^2+2x-8 - 2/x^2+2x-8
Log On
Algebra: Polynomials, rational expressions and equations
Section
Solvers
Solvers
Lessons
Lessons
Answers archive
Answers
Click here to see ALL problems on Polynomials-and-rational-expressions
Question 676058
:
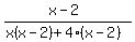
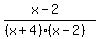
x/x^2+2x-8 - 2/x^2+2x-8
Answer by
MathLover1(20850)
(
Show Source
):
You can
put this solution on YOUR website!
.......replace
with
....group