SOLUTION: I would really appreciate it if someone could help me out with this. Simplify. Assume no denominators are 0. Show cancelling and factoring. (y^2-49/z^2+z) divided by (y+7/z)

Algebra ->  Polynomials-and-rational-expressions -> SOLUTION: I would really appreciate it if someone could help me out with this. Simplify. Assume no denominators are 0. Show cancelling and factoring. (y^2-49/z^2+z) divided by (y+7/z)      Log On


   



Question 674122: I would really appreciate it if someone could help me out with this.
Simplify. Assume no denominators are 0. Show cancelling and factoring.
(y^2-49/z^2+z) divided by (y+7/z)

Answer by swincher4391(1107) About Me  (Show Source):
You can put this solution on YOUR website!
%28%28y%5E2-49%29%2F%28z%5E2%2Bz%29%29%2F%28%28y%2B7%29%2Fz%29
Flip and multiply.
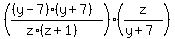
%28%28y%5E2-49%29%2F%28z%5E2%2Bz%29%29+%2A+%28z%2F%28y%2B7%29%29
Factor where possible.
Side work:
y^2-49 = y^2 - 7^2, which is the difference of two squares which can easily be factored as (y+7)(y-7)
z^2+z can factor out a z to get z(z+1).
With that in mind:
%28%28%28y-7%29%2A%28y%2B7%29%29%2F%28z%2A%28z%2B1%29%29%29+%2A+%28z%2F%28y%2B7%29%29

%28y-7%29%2F%28z%2B1%29