SOLUTION: I really need some help with this! :) Simplify the expression and show cancelling and factoring. (x + 3)^2/x^2 times 4y^2/4x +12

Algebra ->  Polynomials-and-rational-expressions -> SOLUTION: I really need some help with this! :) Simplify the expression and show cancelling and factoring. (x + 3)^2/x^2 times 4y^2/4x +12      Log On


   



Question 672751: I really need some help with this! :)
Simplify the expression and show cancelling and factoring.
(x + 3)^2/x^2 times 4y^2/4x +12

Answer by radh(108) About Me  (Show Source):
You can put this solution on YOUR website!
Factor out the GCF (4).
%28%28x%2B3%29%5E%282%29%29%2F%28x%5E%282%29%29%2A%284y%5E%282%29%29%2F%284%28x%2B3%29%29

Reduce by removing a common factor (4).
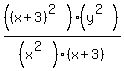
%28%28x%2B3%29%5E%282%29%29%2F%28x%5E%282%29%29%2A%28y%5E%282%29%29%2F%28x%2B3%29

Reduce by canceling a common factor(x+3).
%28y%5E%282%29%28x%2B3%29%29%2F%28x%5E%282%29%29

Hope this helps. :)