SOLUTION: How do I simplify the following: _____64x^4+27x_______ 4x^3-9x^2-9x The denom is not a problem, it is the numerator I can not figure out.

Algebra ->  Polynomials-and-rational-expressions -> SOLUTION: How do I simplify the following: _____64x^4+27x_______ 4x^3-9x^2-9x The denom is not a problem, it is the numerator I can not figure out.      Log On


   



Question 67205: How do I simplify the following:
_____64x^4+27x_______
4x^3-9x^2-9x
The denom is not a problem, it is the numerator I can not figure out.

Answer by funmath(2933) About Me  (Show Source):
You can put this solution on YOUR website!
How do I simplify the following:
Helpful rule: highlight%28a%5E3%2Bb%5E3=%28a%2Bb%29%28a%5E2-ab%2Bb%5E2%29%29
%2864x%5E4%2B27x%29%2F%284x%5E3-9x%5E2-9x%29
x%2864x%5E3%2B27%29%2F%28x%284x%5E2-9x-9%29%29
x%284%5E3%2Ax%5E3%2B3%5E3%29%2F%28x%28x-3%29%284x%2B3%29%29
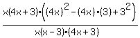
x%28%284x%29%5E3%2B3%5E3%29%2F%28x%28x-3%29%284x%2B3%29%29 a=4x and b=3
x%284x%2B3%29%28%284x%29%5E2-%284x%29%283%29%2B3%5E2%29%2F%28x%28x-3%29%284x%2B3%29%29
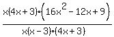
x%284x%2B3%29%2816x%5E2-12x%2B9%29%2F%28x%28x-3%29%284x%2B3%29%29

highlight%28%2816x%5E2-12x%2B9%29%2F%28x-3%29%29
Happy Calculating!!!