SOLUTION: I'm trying to divide rational expressions but I just can't. I've worked out examples in a book, following them exactly (That's how I usually learn a particular formula) but me and

Algebra ->  Polynomials-and-rational-expressions -> SOLUTION: I'm trying to divide rational expressions but I just can't. I've worked out examples in a book, following them exactly (That's how I usually learn a particular formula) but me and       Log On


   



Question 66346: I'm trying to divide rational expressions but I just can't. I've worked out examples in a book, following them exactly (That's how I usually learn a particular formula) but me and math have never gotten along. The question I'm having difficulty with is this one: x^2+6x+8/x^2+x-2 divided by x+4/2x+4
Thank you.
P.S: I don't currently have the book this problem is from, sorry.

Answer by ankor@dixie-net.com(22740) About Me  (Show Source):
You can put this solution on YOUR website!
x^2+6x+8/x^2+x-2 divided by x+4/2x+4
:
remember that when you divide you invert the dividing fraction and multiply:
%28x%5E2%2B6x%2B8%29%2F%28x%5E2%2Bx-2%29 * %282x%2B4%29%2F%28x%2B4%29
:
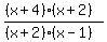
You can factor here:
%28%28x%2B4%29%28x%2B2%29%29%2F%28%28x%2B2%29%28x-1%29%29 * %282%28x%2B2%29%29%2F%28x%2B4%29
:
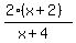
Notice that you can cancel the (x+4)'s and the (x+2)'s, leaving us with:
1%2F%28x-1%29%29 * x(x+2)
:
%28x%28x%2B2%29%29%2F%28x-1%29%29 is our results