SOLUTION: if alpha beta and gama are the root of the equation x^3-px+q =0then prove that alpha+beta+gama=0

Algebra ->  Polynomials-and-rational-expressions -> SOLUTION: if alpha beta and gama are the root of the equation x^3-px+q =0then prove that alpha+beta+gama=0       Log On


   



Question 656688: if alpha beta and gama are the root of the equation x^3-px+q =0then prove that alpha+beta+gama=0
Answer by Edwin McCravy(20060) About Me  (Show Source):
You can put this solution on YOUR website!
x%5E3-px%2Bq+=+0

Since polynomial equations of the same degree with leading 
coefficient 1 (known as "monic" polynomial equations) and with 
the same roots and their multiplicities are unique, we create the 
cubic polynomial with leading coefficient 1, which will be the same
as x%5E3-px%2Bq+=+0

x=alpha, x=beta, x=gamma
 
x-alpha=0, x-beta=0, x-gamma=0
 
%28x-alpha%29%28x-beta%29%28x-gamma%29=0
 
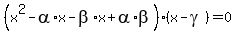
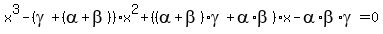
%28x%5E2-alpha%2Ax-beta%2Ax%2Balpha%2Abeta%29%28x-gamma%29=0 

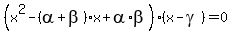
%28x%5E2-%28alpha%2Bbeta%29x%2Balpha%2Abeta%29%28x-gamma%29=0 


 

 








This is the same polynomial equation as

x%5E3-px%2Bq+=+0

which is the same as

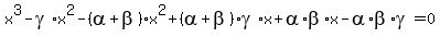
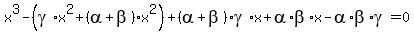
x%5E3%2B0x%5E2-px%2Bq+=+0

Equating coefficients of x²,

-%28alpha%2Bbeta%2Bgamma%29=0

alpha%2Bbeta%2Bgamma=0

Edwin