Question 651516: Apologies, I made a mistake with the first question I wrote.
I meant to post:
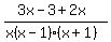
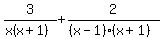
Simplify:
Sorry to be a hassle. Found 2 solutions by nerdybill, MathTherapy:Answer by nerdybill(7384) (Show Source):
You can put this solution on YOUR website! Apologies, I made a mistake with the first question I wrote.
I meant to post:
Simplify:
Sorry to be a hassle.
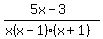
---- Multiplying by LCD,
, or
Send comments and “thank-yous” to “D” at MathMadEzy@aol.com