SOLUTION: Add or subtract as indicated. Be sure to simply completely. 3/x^2+4x+3 minus 1/x^2-9 This is one of the harder problems of the chapter. I need some help with this one, too!

Algebra ->  Polynomials-and-rational-expressions -> SOLUTION: Add or subtract as indicated. Be sure to simply completely. 3/x^2+4x+3 minus 1/x^2-9 This is one of the harder problems of the chapter. I need some help with this one, too!      Log On


   



Question 64938: Add or subtract as indicated. Be sure to simply completely.
3/x^2+4x+3 minus 1/x^2-9
This is one of the harder problems of the chapter. I need some help with this one, too!

Answer by ankor@dixie-net.com(22740) About Me  (Show Source):
You can put this solution on YOUR website!
:
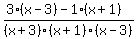
3%2F%28x%5E2%2B4x%2B3%29+-+1%2F%28x%5E2-9%29 = 3%2F%28%28x%2B3%29%28x%2B1%29%29+-+1%2F%28%28x-3%29%28x%2B3%29%29=
:
The common denominators will be the three factors:
%283%28x-3%29+-+1%28x%2B1%29%29%2F%28x%2B3%29%28x%2B1%29%28x-3%29%29 = %283x+-+9+-+x+-+1%29%2F%28x%2B3%29%28x%2B1%29%28x-3%29%29 = %282x+-10%29%2F%28x%2B3%29%28x%2B1%29%28x-3%29%29 is about as simple as you can get it