SOLUTION: Factor the polynomial by grouping the first two terms and the last two terms: x^3 – 4x^2 + 2x - 8

Algebra ->  Polynomials-and-rational-expressions -> SOLUTION: Factor the polynomial by grouping the first two terms and the last two terms: x^3 – 4x^2 + 2x - 8       Log On


   



Question 64084: Factor the polynomial by grouping the first two terms and the last two terms:
x^3 – 4x^2 + 2x - 8

Answer by funmath(2933) About Me  (Show Source):
You can put this solution on YOUR website!
Factor the polynomial by grouping the first two terms and the last two terms:
x^3 – 4x^2 + 2x - 8
%28x%5E3-4x%5E2%29%2B%282x-8%29 Factor out the GCF out of each parentheses.
x%5E2%28x-4%29%2B2%28x-4%29
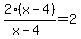
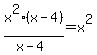
x^2(x-4) and 2(x-4) both have a (x-4). Factor out the GCF x-4. When you do this x%5E2%28x-4%29%2F%28x-4%29=x%5E2 and 2%28x-4%29%2F%28x-4%29=2, so you have:
%28x-4%29%28x%5E2%2B2%29
Happy Calculating!!!