SOLUTION: Hello! I need help finding the exact roots of this polynomial g(x)=2x^4-5x^3+9x^2-20x+4 if 2i is a zero I'd really appreciate the help, thank you so much for taking your time out

Algebra ->  Polynomials-and-rational-expressions -> SOLUTION: Hello! I need help finding the exact roots of this polynomial g(x)=2x^4-5x^3+9x^2-20x+4 if 2i is a zero I'd really appreciate the help, thank you so much for taking your time out      Log On


   



Question 635489: Hello! I need help finding the exact roots of this polynomial
g(x)=2x^4-5x^3+9x^2-20x+4 if 2i is a zero
I'd really appreciate the help, thank you so much for taking your time out of your busy day! :)

Answer by ewatrrr(24785) About Me  (Show Source):
You can put this solution on YOUR website!
 
Hi,
g(x)=2x^4-5x^3+9x^2-20x+4
2i is a zero, therefore so is -2i and (x-2i)(x+2i) = x^2 + 4
x^2 + 4 |2x^4-5x^3+9x^2-20x+4
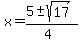
gives: 2x^2 -5x + 1
x+=+%285+%2B-+sqrt%28+17%29%29%2F%284%29+ the other two roots