SOLUTION: I am confused on how you are suppose to simplify rational expression. The instructions also instructs to state the excluded values of the variables. problem 24.

Algebra ->  Polynomials-and-rational-expressions -> SOLUTION: I am confused on how you are suppose to simplify rational expression. The instructions also instructs to state the excluded values of the variables. problem 24.       Log On


   



Question 63505This question is from textbook Glencoe Algebra 1
: I am confused on how you are suppose to simplify rational expression. The instructions also instructs to state the excluded values of the variables.
problem 24.
3x -15
_______________
x2 - 7x + 10
This question is from textbook Glencoe Algebra 1

Answer by 303795(602) About Me  (Show Source):
You can put this solution on YOUR website!
If at all possible factorise the terms. If you are lucky then a factor on the top of the division may cancel out one on the bottom of the division. The factors on the bottom cannot equal zero.
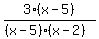
%283x-15%29%2F%28x%5E2-7x%2B10%29
3%28x-5%29%2F%28%28x-5%29%28x-2%29%29
ie x cannot be 5 or 2
Cancel the (x-5) factor to get
3%2F%28x-2%29