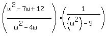
You can put this solution on YOUR website! Let's get started by rewriting what we're dividing by. Instead of dividing by the term, let's multiply by the inverse to make life easier.
We can factor all of these. Here is a rewritten form, all factored nicely. Also, the one over W squared minus 9 term is multiplied in (it goes on the bottom since it's being multiplied.)
Now cancel out repeated factors.
That is your answer, or you may multiply w by w+3 if you wish, to get W squared plus three W.