Question 630287: may you please help me reduce this rational expression into lowest terms
16^4 - 49/8x^3 - 12x^2 + 14x - 21 Answer by jsmallt9(3758) (Show Source):
You can put this solution on YOUR website! First, I assume that is supposed to be
Second, please put parentheses around multiple term numerators and denominators. What you posted means:
which I'm pretty sure is not the right expression. Making your expressions clear and not making the tutors try to figure out what you mean will result in faster responses.
Reducing fractions is, as it's always been, a matter of finding and canceling any factors that are common to the numerator and denominator. So we start by figuring out what the factors are.
We'll start by factoring the numerator:
When factoring, always start by factoring out the greatest common factor (GCF), unless it is a 1 which is rarely factored out. The GCF here is 1 so we will not factor it out.
After the GCF, there are a variety of factoring techniques one can try. One of the methods is factoring by patterns and one of these patterns is: fits that pattern because both terms are perfect squares with a minus between them: and Using this pattern with an "a" of "" and a "b" of "7" we get:
None of these factors will factor any further so we are finished factoring the numerator.
Now we'll factor the denominator:
The GCF is 1 so again we skip factoring it out. The factoring patterns usually taught have wither 2 or 3 terms. We have 4 terms so the patterns will not work here. There are also too many terms for trinomial factoring. Another factoring technique that is taught is factoring by grouping. With factoring by grouping you group the whole expression into sub-expressions that have a GCF. (Note: This is one time where GCF's of 1 are factored out!) If you're lucky you will end up with a factor common to the two factored sub-expressions. Creating sub-expressions:
Factoring out the GCF of each sub-expression:
As you can see, the two factored sub-expressions have a common factor: (2x-3). Factoring out this common factor:
None of these factors will factor further.
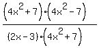
Now let's rewrite the fraction with the factored numerator and denominator:
Looking at this you should be able to see a factor that is common to the numerator and denominator. This common factor can be canceled:
leaving: