SOLUTION: Hi! I just want you to check if my answers are correct. Factor the expressions: 1. 15a^2(b-2)^2 + 20a^3(b-2)^3 = my answer is 5a^2(b-2)^2 [3 + 4a(b-2)] 2. 18p^2q^3 (r-6)+ 2

Algebra ->  Polynomials-and-rational-expressions -> SOLUTION: Hi! I just want you to check if my answers are correct. Factor the expressions: 1. 15a^2(b-2)^2 + 20a^3(b-2)^3 = my answer is 5a^2(b-2)^2 [3 + 4a(b-2)] 2. 18p^2q^3 (r-6)+ 2      Log On


   



Question 626927: Hi! I just want you to check if my answers are correct.
Factor the expressions:
1. 15a^2(b-2)^2 + 20a^3(b-2)^3 = my answer is 5a^2(b-2)^2 [3 + 4a(b-2)]
2. 18p^2q^3 (r-6)+ 24(r-6) = my answer is 6(r-6)[3p^2q^3 + 4]
3. 24(x-y)^2 + 48(y-x) - 72(x-y)^3 = my answer is 24[(x-y)^2 + 2(y-x) - 3(x-y)^3]
Lastly, -8.4x^3y^4 - 3.6x^2y^5 - 4.8x^4y^3. I don't have an answer for it yet.
Would appreciate your response. Thank you. :)

Answer by psbhowmick(878) About Me  (Show Source):
You can put this solution on YOUR website!
I will only solve the last one.
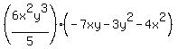
-8.4x%5E3y%5E4+-+3.6x%5E2y%5E5+-+4.8x%5E4y%5E3
=%281%2F5%29%28-42x%5E3y%5E4+-+18x%5E2y%5E5+-+24x%5E4y%5E3%29
=%286x%5E2y%5E3%2F5%29%28-7xy+-+3y%5E2+-+4x%5E2%29
=%28-6x%5E2y%5E3%2F5%29%283y%5E2+%2B7xy%2B+4x%5E2%29
=%28-6x%5E2y%5E3%2F5%29%283y%5E2+%2B3xy+%2B+4xy%2B+4x%5E2%29
=%28-6x%5E2y%5E3%2F5%29%283y%28y%2Bx%29+%2B+4x%28y%2Bx%29%29
=%28-6x%5E2y%5E3%2F5%29%28y%2Bx%29%283y%2B4x%29