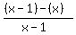
SOLUTION: 1- 1/(1-1/x)
Algebra
->
Polynomials-and-rational-expressions
-> SOLUTION: 1- 1/(1-1/x)
Log On
Algebra: Polynomials, rational expressions and equations
Section
Solvers
Solvers
Lessons
Lessons
Answers archive
Answers
Click here to see ALL problems on Polynomials-and-rational-expressions
Question 626274
:
1- 1/(1-1/x)
Answer by
Maths68(1474)
(
Show Source
):
You can
put this solution on YOUR website!
=
=
=
=
=
=
=
=