SOLUTION: Instructions: Perform the indicated operations. What is the solution for (2x+3y)^3

Algebra ->  Polynomials-and-rational-expressions -> SOLUTION: Instructions: Perform the indicated operations. What is the solution for (2x+3y)^3      Log On


   



Question 62253: Instructions: Perform the indicated operations.
What is the solution for (2x+3y)^3

Found 2 solutions by stanbon, funmath:
Answer by stanbon(75887) About Me  (Show Source):
You can put this solution on YOUR website!
(2x+3y)^3
The form is (a+b)^3=a^3+3a^2b+3ab^2+b^3
In your case a=2x and b=3y so you get:
(2x)^3+3(2x)^2(3y)+3(2x)(3y)^2+(3y)^3
=8x^3+36x^2y+54xy^2+27y^3
Cheers,
Stan H.

Answer by funmath(2933) About Me  (Show Source):
You can put this solution on YOUR website!
(2x+3y)^3
(2x+3y)(2x+3y)(2x+3y) Work the last two parentheses first.
(2x+3y)[2x(2x+3y)+3y(2x+3y)]
(2x+3y)[2x(2x)+2x(3y)+3y(2x)+3y(3y)]
%282x%2B3y%29%284x%5E2%2B6xy%2B6xy%2B9y%5E2%29
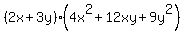
%282x%2B3y%29%284x%5E2%2B12xy%2B9y%5E2%29
Now distribute the first term in the first parentheses through the second parentheses, then the second term in the first parentheses into the second parentheses.
2x%284x%5E2%2B12xy%2B9y%5E2%29%2B3y%284x%5E2%2B12xy%2B9y%5E2%29
8x%5E3%2B24x%5E2y%2B18xy%5E2%2B12x%5E2y%2B36xy%5E2%2B27y%5E3
8x%5E3%2B24x%5E2y%2B12x%5E2y%2B18xy%5E2%2B36xy%5E2%2B27y%5E3
8x%5E3%2B36x%5E2y%2B54xy%5E2%2B27y%5E3
Happy Calculating!!!