SOLUTION: What value of c makes the polynomial below a perfect square? 4x^2+12x+c
Algebra
->
Polynomials-and-rational-expressions
-> SOLUTION: What value of c makes the polynomial below a perfect square? 4x^2+12x+c
Log On
Algebra: Polynomials, rational expressions and equations
Section
Solvers
Solvers
Lessons
Lessons
Answers archive
Answers
Click here to see ALL problems on Polynomials-and-rational-expressions
Question 621893
:
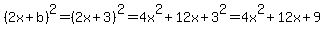
What value of c makes the polynomial below a perfect square?
4x^2+12x+c
Answer by
KMST(5347)
(
Show Source
):
You can
put this solution on YOUR website!
is the square of
If
no matter what value x takes, it must be
<--->
and then
So