|
Question 616097: Please help me solve this equation:
Answer by jsmallt9(3758) (Show Source):
You can put this solution on YOUR website! 
You solve equations like this by factoring them. The greatest common factor (GCF) here is just 1 (and we raraely factor out a 1). There are too many terms for factoring by patterns or for trinomial factoring. So we are left with factoring by grouping and factoring by trial and error of the possible rational roots. Since the later one, as its name implies, can be hit or miss it can take a long time. So we will try factoring by grouping first.
Factoring by grouping requires an even number of terms. We have an even number of terms so this is a good start. Next we break up the expression into sub-expressions. To group terms we need the Associative Property and for this property we need to have all additions. (Sometimes we also have to reorder terms and this requires all additions, too.) So we start by rewriting the expression as all additions:

Now we can group terms into sub-expressions:

Next we factor out the GCF of each sub-expression. (Note: This is one of the few times we actually factor out a GCF of 1!) The GCF of the first sub-expression is and the GCF of the second sub-expression is 9. Factoring these out from each sub-expression we get:

At this point we hope to see that the "non-GCF" factors are the same. Our "non-GCF" factors are (2x+1) and ((-2x)+(-1)). They are not the same. But they are opposites of each other! Although equal is best, opposites is almost as good. With opposites like this, you go back and factor out the negative of one of the sub-expression GCF's. (Just one, not both.) I'm going back and factoring out -9 instead of 9 from the second sub-expression:

And the "non-GCF" factors now match! This is what we want. The next step is to factor out the common "non-GCF" factor. This can be hard to see at first so look closely at

and notice where all the parts end up after we factor out (2x+1):

Just as you keep reducing fractions until they won't reduce any further, you keep factoring until nothing else factors. The (2x+1) will not factor any further so we turn our attention to and start the factoring process all over on it.
If we've done things correctly so far, then will have a GCF of 1. It does. Does it fit one of the factoring patterns? Answer: Yes! If you look at it in your head or by rewriting it as a subtraction, you can see that is a difference of squares. So it will factor according to the pattern: . Using this pattern using an "x" for the "a" and a "3" for the "b" we get:

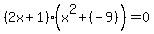
Each factor will factor no further so we are finished factoring.
Once your equation is factored, we use the Zero Product Property. This property tells us that any product, including this one, can be equal to zero only if one (or more) of the factors is zero. So:
or or 
Solving each of these we get:
or or 
These are the solutions to your equation.
|
|
|
| |