SOLUTION: Can somebody please help me! Find all real solutions to (a) x^2 + x + SQRT(x^2 + x) - 2 = 0 I have been working on this problems for a couple of days and I can't seem t

Algebra ->  Polynomials-and-rational-expressions -> SOLUTION: Can somebody please help me! Find all real solutions to (a) x^2 + x + SQRT(x^2 + x) - 2 = 0 I have been working on this problems for a couple of days and I can't seem t      Log On


   



Question 61003This question is from textbook
: Can somebody please help me!
Find all real solutions to
(a) x^2 + x + SQRT(x^2 + x) - 2 = 0
I have been working on this problems for a couple of days and I can't seem to understand, or even know what to do. I know I need to use the substitution methods but the radical in the equation is confusing me.
This question is from textbook

Answer by funmath(2933) About Me  (Show Source):
You can put this solution on YOUR website!
Find all real solutions to
(a) x%5E2%2Bx%2Bsqrt%28x%5E2%2Bx%29-2=0
Use the substitution method.
%28sqrt%28x%5E2%2Bx%29%29%5E2%2Bsqrt%28x%5E2%2Bx%29-2=0
Let P=sqrt%28x%5E2%2Bx%29
P%5E2%2BP-2=0 Factor
(P+2)(P-1)=0
P+2=0 and P-1=0
P=-2 and P=1
But we want to know what x is, so let sqrt%28x%5E2%2Bx%29=P
sqrt%28x%5E2%2Bx%29=-2 and sqrt%28x%5E2%2Bx%29=1
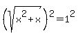
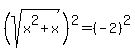
%28sqrt%28x%5E2%2Bx%29%29%5E2=%28-2%29%5E2 and %28sqrt%28x%5E2%2Bx%29%29%5E2=1%5E2
x%5E2%2Bx=4 and x%5E2%2Bx=1
x%5E2%2Bx-4=0 and x%5E2%2Bx-1=0
You have to use the quadratic equation to solve these:
x=%28-b%2B-sqrt%28b%5E2-4ac%29%29%2F%282a%29
when a=1, b=1, c=-4
x=%28-1%2B-sqrt%28%281%29%5E2-4%281%29%28-4%29%29%29%2F%282%2A1%29
x=%28-1%2B-sqrt%281%2B16%29%29%2F2
x=%28-1%2B-sqrt%2817%29%29%2F2 You have to check these to see if they are valid or extraneous. I checked these by plugging them into my calculator and the were both extraneous.
when a=1, b=1, and c=-1
x=%28-1%2B-sqrt%28%281%29%5E2-4%281%29%28-1%29%29%29%2F%282%2A1%29
highlight%28x=%28-1%2B-sqrt%285%29%29%2F2%29 You have to check these to see if they are valid or extraneous. I checked these with my calculator and they were both valid.
If you have a TI-83 or 84, I can give you instructions on checking for extraneous solutions if you ask.
Happy Calculating!!!