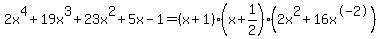
SOLUTION: Find all the real zeros of the polynomial. Use the quadratic formula if necessary. 2x^4 + 19x^3 + 23x^2 + 5x − 1

Algebra ->  Polynomials-and-rational-expressions -> SOLUTION: Find all the real zeros of the polynomial. Use the quadratic formula if necessary. 2x^4 + 19x^3 + 23x^2 + 5x − 1      Log On


   



Question 608390: Find all the real zeros of the polynomial. Use the quadratic formula if necessary.

2x^4 + 19x^3 + 23x^2 + 5x − 1

Found 2 solutions by lynnlo, jsmallt9:
Answer by lynnlo(4176) About Me  (Show Source):
You can put this solution on YOUR website!
±1,±1/2
if you hold down your alt.key and type in 241 you will get your (±)symbol

Answer by jsmallt9(3758) About Me  (Show Source):
You can put this solution on YOUR website!
2x%5E4+%2B+19x%5E3+%2B+23x%5E2+%2B+5x+-+1
NOTE: The other tutor's solution only provides possible rational zeros. They are not all actually zeros. The "missing" zeros will be either irrational (which is another subset of real numbers) or complex.

We'll start by using the other tutors work. By definition, z zero will turn a polynomial into a zero. (Hence, then name.) Since powers of 1 are so easy, one can easily check to see if 1 is a zero. You should be able to see that it is not. The polynomial is equal to 48 when x = 1. Checking -1 is not as easy but many can do it in your head. The even powers of -1 are 1's and the odd powers of -1 are -1. We should find that -1 is a zero.

TO find the other zeros, it helps if you factor the expression using the zero(s) you've already found. Since -1 is a zero, then (x - (-1)) or (x + 1) is a factor. Using synthetic (or long) division we can find the other factor:
-1    2   19   23   5   -1
          -2  -17  -6    1
      ---------------------
      2   17    6  -1    0
The 0 in the lower right corner tells us the remainder (and the value of the polynomial when x = -1). The rest of the bottom line tells us the other factor. So
2x%5E4+%2B+19x%5E3+%2B+23x%5E2+%2B+5x+-+1+=+%28x%2B1%29%282x%5E3%2B17x%5E2%2B6x-1%29
We will use the other factor to find the other zeros. Since powers of 1/2 are not so easy to do mentally, we will use synthetic division to test them:
1/2   2   17    6   -1
           1    9   15/2
     -------------------
      2   18   15   33/2
The remainder is 23/2, not zero. So 1/2 is not a zero.
-1/2  2   17    6   -1
          -1   -8    1
     -------------------
      2   16   -2    0

The remainder is 0. SO -1/2 is a zero of the polynomialand (x - (-1/2) or (x + 1/2) is a factor:

We have run out os possible rational roots. But the remaining factor is quadratic so we can use the Quadratic Formula to find the remaining zeros:
x+=+%28-%2816%29+%2B-+sqrt%28%2816%29%5E2+-+4%282%29%28-2%29%29%29%2F2%282%29
Simplifying...
x+=+%28-%2816%29+%2B-+sqrt%28256+-+4%282%29%28-2%29%29%29%2F2%282%29
x+=+%28-%2816%29+%2B-+sqrt%28256+%2B16%29%29%2F2%282%29
x+=+%28-%2816%29+%2B-+sqrt%28272%29%29%2F2%282%29
x+=+%28-16+%2B-+sqrt%28272%29%29%2F4
x+=+%28-16+%2B-+sqrt%2816%2A17%29%29%2F4
x+=+%28-16+%2B-+sqrt%2816%29%2Asqrt%2817%29%29%2F4
x+=+%28-16+%2B-+4%2Asqrt%2817%29%29%2F4
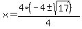
x+=+%284%28-4+%2B-+sqrt%2817%29%29%29%2F4
x+=+%28cross%284%29%28-4+%2B-+sqrt%2817%29%29%29%2Fcross%284%29
x+=+-4+%2B-+sqrt%2817%29
So the four real zeros are:
-1, -1/2, -4+%2B+sqrt%2817%29 and -4+-+sqrt%2817%29