SOLUTION: Simplify (x-5)/(x+5)-(-16 x+10)/( x^2+x-20)

Algebra ->  Polynomials-and-rational-expressions -> SOLUTION: Simplify (x-5)/(x+5)-(-16 x+10)/( x^2+x-20)      Log On


   



Question 604405: Simplify (x-5)/(x+5)-(-16 x+10)/( x^2+x-20)
Answer by alicealc(293) About Me  (Show Source):
You can put this solution on YOUR website!
%28x-5%29%2F%28x%2B5%29-%28-16x%2B10%29%2F%28x%5E2%2Bx-20%29
%28x-5%29%2F%28x%2B5%29-%28-16x%2B10%29%2F%28%28x%2B5%29%2A%28x-4%29%29
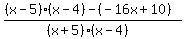
%28%28x-5%29%2A%28x-4%29-%28-16x%2B10%29%29%2F%28%28x%2B5%29%2A%28x-4%29%29
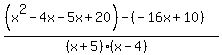
%28%28x%5E2-4x-5x%2B20%29-%28-16x%2B10%29%29%2F%28%28x%2B5%29%2A%28x-4%29%29
%28x%5E2-9x%2B20%2B16x-10%29%2F%28%28x%2B5%29%2A%28x-4%29%29
%28x%5E2%2B7x%2B10%29%2F%28%28x%2B5%29%2A%28x-4%29%29
%28%28x%2B5%29%2A%28x%2B2%29%29%2F%28%28x%2B5%29%2A%28x-4%29%29
omit (x + 5) on both numerator and denominator
%28x%2B2%29%2F%28x-4%29