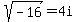
SOLUTION: How do I Simplify the following expression; express in terms of i? √-16
Algebra
->
Polynomials-and-rational-expressions
-> SOLUTION: How do I Simplify the following expression; express in terms of i? √-16
Log On
Algebra: Polynomials, rational expressions and equations
Section
Solvers
Solvers
Lessons
Lessons
Answers archive
Answers
Click here to see ALL problems on Polynomials-and-rational-expressions
Question 599301
:
How do I Simplify the following expression; express in terms of i?
√-16
Answer by
jim_thompson5910(35256)
(
Show Source
):
You can
put this solution on YOUR website!
Answer: