SOLUTION: x2-4/16x+32

Algebra ->  Polynomials-and-rational-expressions -> SOLUTION: x2-4/16x+32      Log On


   



Question 59582: x2-4/16x+32
Answer by funmath(2933) About Me  (Show Source):
You can put this solution on YOUR website!
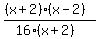
%28x%5E2-4%29%2F%2816x%2B32%29 Factor the numerator and denominator
%28%28x%2B2%29%28x-2%29%29%2F%2816%28x%2B2%29%29 Cancel the matching numerator and denominators.
%28cross%28%28x%2B2%29%29%2A%28x-2%29%29%2F%2816%2Across%28%28x%2B2%29%29%29
highlight%28%28x-2%29%2F16%29
Happy Calculating!!!