SOLUTION: Can someone tell me if the answer I got to the following equation is correct? e^2-6e+8/e^2-e-12 divided by e^2/e^2-9 I got (e-3)/e+2) as the answer.

Algebra ->  Polynomials-and-rational-expressions -> SOLUTION: Can someone tell me if the answer I got to the following equation is correct? e^2-6e+8/e^2-e-12 divided by e^2/e^2-9 I got (e-3)/e+2) as the answer.      Log On


   



Question 595009: Can someone tell me if the answer I got to the following equation is correct?
e^2-6e+8/e^2-e-12 divided by e^2/e^2-9
I got (e-3)/e+2) as the answer.

Answer by Alan3354(69443) About Me  (Show Source):
You can put this solution on YOUR website!
e^2-6e+8/e^2-e-12 divided by e^2/e^2-9
Invert the divisor and multiply.
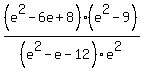
%28e%5E2-6e%2B8%29%2F%28e%5E2-e-12%29%2A%28e%5E2-9%29%2Fe%5E2
= %28e-2%29%28e-4%29%2F%28%28e-4%29%28e%2B3%29%29%2A%28e-3%29%28e%2B3%29%2Fe%5E2
= %28e-2%29%2A%28e-3%29%2Fe%5E2

I got (e-3)/e+2) as the answer.