SOLUTION: I must simplify each rational expression. the problem is "{{{(x^3-2x+x-2) / (x^2-36)}}}" by working the problem two different ways I have came up with two different answers

Algebra ->  Polynomials-and-rational-expressions -> SOLUTION: I must simplify each rational expression. the problem is "{{{(x^3-2x+x-2) / (x^2-36)}}}" by working the problem two different ways I have came up with two different answers      Log On


   



Question 590965: I must simplify each rational expression.
the problem is
"%28x%5E3-2x%2Bx-2%29+%2F+%28x%5E2-36%29"
by working the problem two different ways I have came up with two different answers and neither of them match the answer in the back of the book
My Answers:
Answer "A"
by simplifing top and perfect square binomial on the bottom
"%28x%5E3-x-2%29+%2F+%28%28x%2B6%29%28x-6%29%29"
or

Answer "B"
by the Grouping method on the top and perfect square binomial on the bottom
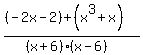
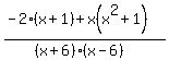
"+%28-2%28x%2B1%29%2Bx%28x%5E2%2B1%29%29+%2F+%28%28x%2B6%29%28x-6%29%29"
Answer "B" WORK
"%28%28-2x-2%29%2B%28x%5E3%2Bx%29%29+%2F+%28%28x%2B6%29%28x-6%29%29 = +%28-2%28x%2B1%29%2Bx%28x%5E2%2B1%29%29+%2F+%28%28x%2B6%29%28x-6%29%29"
The answer in the back of book is
"x%5E2%2B1"
The answer I found online is the same as my Answer "A"
"%28x%5E3-x-2%29+%2F+%28%28x%2B6%29%28x-6%29%29"
I am confused, please help
WolfMan

Answer by Edwin McCravy(20060) About Me  (Show Source):
You can put this solution on YOUR website!

There was a misprint in your book. Almost every book has some typos.
So don't be too surprised that you found an error in the book.
If the problem had been
%28x%5E3-2x%5E2%2Bx-2%29%2F%28x-2%29
the answer would have been x²+1.
But your answer "A" is correct for what you were given.
Edwin