SOLUTION: 76. (x^3-1)/(x^2+1) divided by (9x^2+9x+9)/(x^2-x) I do not know where to start on this problem let alone how to do it.

Algebra ->  Polynomials-and-rational-expressions -> SOLUTION: 76. (x^3-1)/(x^2+1) divided by (9x^2+9x+9)/(x^2-x) I do not know where to start on this problem let alone how to do it.       Log On


   



Question 58593: 76. (x^3-1)/(x^2+1) divided by (9x^2+9x+9)/(x^2-x)
I do not know where to start on this problem let alone how to do it.

Answer by funmath(2933) About Me  (Show Source):
You can put this solution on YOUR website!
The one formula that I'm going to use that you may not remember for factoroing the difference of cubes is highlight%28u%5E3-v%5E3=%28u-v%29%28u%5E2%2Buv%2Bv%5E2%29%29
%28x%5E3-1%29%2F%28x%5E2%2B1%29 divided by %289x%5E2%2B9x%2B9%29%2F%28x%5E2-x%29
First flip the second fraction and multiply:
%28%28x%5E3-1%29%2F%28x%5E2%2B1%29%29%2A%28%28x%5E2-x%29%2F%289x%5E2%2B9x%2B9%29%29 Now factor everything:
Cancel the numerators and denominators that match:
Multiply whats left:
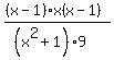
%28%28x-1%29%2Ax%28x-1%29%29%2F%28%28x%5E2%2B1%29%2A9%29
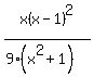
x%28x-1%29%5E2%2F%289%28x%5E2%2B1%29%29
Most books and teachers are happy with this, though you can multiply everything through.
Happy Calculating!!!