SOLUTION: Essay: Show all work. The area of a rectangular swimming pool is given by 2x^2 – 5x – 3 ft^2. One side length of the pool is given by 2x + 1 feet. What is an algebraic expression f

Algebra ->  Polynomials-and-rational-expressions -> SOLUTION: Essay: Show all work. The area of a rectangular swimming pool is given by 2x^2 – 5x – 3 ft^2. One side length of the pool is given by 2x + 1 feet. What is an algebraic expression f      Log On


   



Question 585271: Essay: Show all work. The area of a rectangular swimming pool is given by 2x^2 – 5x – 3 ft^2. One side length of the pool is given by 2x + 1 feet. What is an algebraic expression for the other side length of the pool? Simplify this, and include correct units as part of your answer. Any and all help is greatly appreciated .. thanks
Answer by ankor@dixie-net.com(22740) About Me  (Show Source):
You can put this solution on YOUR website!
The area of a rectangular swimming pool is given by 2x^2 – 5x – 3 ft^2.
One side length of the pool is given by 2x + 1 feet.
What is an algebraic expression for the other side length of the pool?
:
A = L * W
L = A/W
:
L = %282x%5E2-5x-3%29%2F%282x%2B1%29
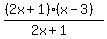
Factor, then cancel (2x+1)'s
L = %28%282x%2B1%29%28x-3%29%29%2F%282x%2B1%29 = (x-3) ft is the Length
:
Prove this. FOIL
(2x+1)(x-3) = 2x^2 - 6x + x - 3 = 2x^2 - 5x - 3 sq/ft