SOLUTION: ...having trouble with this - could anyone please help? (3x-2)(5x-4) ––––––––––––– (9x-6)(7x-1) Thank you!

Algebra ->  Polynomials-and-rational-expressions -> SOLUTION: ...having trouble with this - could anyone please help? (3x-2)(5x-4) ––––––––––––– (9x-6)(7x-1) Thank you!      Log On


   



Question 57887: ...having trouble with this - could anyone please help?
(3x-2)(5x-4)
–––––––––––––
(9x-6)(7x-1)
Thank you!

Answer by funmath(2933) About Me  (Show Source):
You can put this solution on YOUR website!
%28%283x-2%29%285x-4%29%29%2F%28%289x-6%29%287x-1%29%29 9x-6 has a GCF of 3
%283x-2%29%285x-4%29%2F%283%283x-2%29%28x-1%29%29 Factor out the 3
cross%28%283x-2%29%29%285x-4%29%2F%283%2Across%28%283x-2%29%29%28x-1%29%29 Cancel the matching numerator and denominator.
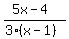
%285x-4%29%2F%283%28x-1%29%29 Some teachers are happy here.
%285x-4%29%2F%283x-3%29 Others are happy here.
Happy Calculating!!!