SOLUTION: My homework is online, this is the question it gave. Decide whether x=-2i, x=i are zeros of {{{f(x)=3x^3-x^2+4x-3}}} And the answers are either none are zeros, both are zero

Algebra ->  Polynomials-and-rational-expressions -> SOLUTION: My homework is online, this is the question it gave. Decide whether x=-2i, x=i are zeros of {{{f(x)=3x^3-x^2+4x-3}}} And the answers are either none are zeros, both are zero      Log On


   



Question 577718: My homework is online, this is the question it gave.
Decide whether x=-2i, x=i are zeros of f%28x%29=3x%5E3-x%5E2%2B4x-3
And the answers are either none are zeros, both are zeros, or only one of them is a zero. I tried to input it on my calculator but no luck and I looked for examples in my textbook and I even looked online for some sort of example but nothing seemed to come up. I tried asking help from my teacher but I was swatted away like a fly.

Answer by jim_thompson5910(35256) About Me  (Show Source):
You can put this solution on YOUR website!
Lets see if x = -2i is a solution. If it is indeed a true solution, then f(-2i) should equal 0 (ie f(-2i) = 0)


f%28x%29=3x%5E3-x%5E2%2B4x-3 Start with the given equation


f%28-2i%29=3%28-2i%29%5E3-%28-2i%29%5E2%2B4%28-2i%29-3 Plug in x=-2i


f%28-2i%29=3%28-8i%5E3%29-4i%5E2-8i-3 Cube -2i to get -8i%5E3


f%28-2i%29=-24i%5E3-4i%5E2-8i-3 Square -2i to get 4i%5E2


f%28-2i%29=-24%28-i%29-4i%5E2-8i-3 Replace i%5E3 with -i (since i%5E3=-i)


f%28-2i%29=-24%28-i%29-4%28-1%29-8i-3 Replace i%5E2 with -1 (since i%5E2=-1)


f%28-2i%29=24i%2B4-8i-3 Multiply


f%28-2i%29=1%2B16i Combine like terms


Since f%28-2i%29=1%2B16i, and f(-2i) is NOT equal to zero, this means that x = -2i is NOT a zero or a solution to the original equation.

------------------------------------------------------------

Now lets see if x = i is a solution. The same reasoning is used before and we're checking to see if f(i) = 0


f%28x%29=3x%5E3-x%5E2%2B4x-3 Start with the given equation


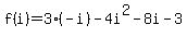
f%28i%29=3i%5E3-i%5E2%2B4i-3 Plug in x=i


f%28i%29=3%28-i%29-4i%5E2-8i-3 Cube i to get -i (since i%5E3=-i)


f%28i%29=3%28-i%29-4%28-1%29-8i-3 Square i to get -1 (since i%5E2=-1)


f%28i%29=-3i%2B4-8i-3 Multiply


f%28i%29=1-11i Combine like terms


Since f%28i%29=1-11i, and f(i) is NOT equal to zero as well, this means that x = i is NOT a zero or a solution to the original equation.



So neither x = -2i or x = i are solutions.


So the answer is "none are zeros"