SOLUTION: I am not sure why my problem is not turning out right, could somebody please help me!!!? addition and subtraction of rational expressions Ch6.4 #51 x-3 over x^2+10x+25 plus x-

Algebra ->  Polynomials-and-rational-expressions -> SOLUTION: I am not sure why my problem is not turning out right, could somebody please help me!!!? addition and subtraction of rational expressions Ch6.4 #51 x-3 over x^2+10x+25 plus x-      Log On


   



Question 57752This question is from textbook Elementary Algebra
: I am not sure why my problem is not turning out right, could somebody please help me!!!?
addition and subtraction of rational expressions
Ch6.4 #51 x-3 over x^2+10x+25 plus x-3 over x+5
i have got this so far as my answer but it is not coming out to the right answer in the back of the book
x-3 over (x+5)(x+5) plus x-3(x+5) over x+5(x+5)
which = x^2+5x-3x-15 over (x+5)^2
This question is from textbook Elementary Algebra

Answer by funmath(2933) About Me  (Show Source):
You can put this solution on YOUR website!
You started out fine:
%28x-3%29%2F%28x%5E2%2B10x%2B25%29%2B%28x-3%29%2F%28x%2B5%29
%28x-3%29%2F%28%28x%2B5%29%28x%2B5%29%29%2B%28x-3%29%2F%28x%2B5%29 The LCD is (x+5)(x+5)



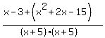
%28x-3%2B%28x%5E2%2B2x-15%29%29%2F%28%28x%2B5%29%28x%2B5%29%29
%28x%5E2%2B3x-18%29%2F%28%28x%2B5%29%28x%2B5%29%29
%28x%2B6%29%28x-3%29%2F%28%28x%2B5%29%28x%2B5%29%29 Nothing can cancel, most teachers are happy with:
%28x%2B6%29%28x-3%29%2F%28x%2B5%29%5E2
Happy Calculating!!!