SOLUTION: Please help with these. I am having a hard time understanding, especially the dividing! 1. Divide and simplify. (g/a^2)/(g^2/a^3) 2. Simplify by removing factors of 1. (r^2-

Algebra ->  Polynomials-and-rational-expressions -> SOLUTION: Please help with these. I am having a hard time understanding, especially the dividing! 1. Divide and simplify. (g/a^2)/(g^2/a^3) 2. Simplify by removing factors of 1. (r^2-      Log On


   



Question 576907: Please help with these. I am having a hard time understanding, especially the dividing!
1. Divide and simplify. (g/a^2)/(g^2/a^3)
2. Simplify by removing factors of 1. (r^2-4)/(r+2)^2
3. Divide and simplify. (a+8/a-3)/(8a+64/a-8)
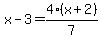
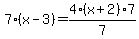
4. Solve. (x-3)/(x+2) = 4/7
5. Multiply and simplify. (3y^6/4q^5)*(16q^7/9y)

Answer by KMST(5330) About Me  (Show Source):
You can put this solution on YOUR website!
1. %28%28g%2Fa%5E2%29%29%2F%28%28g%5E2%2Fa%5E3%29%29=%28g%2Fa%5E2%29%2A%28a%5E3%2Fg%5E2%29 just like you would divide fractions if they were made of integers, like
%28%282%2F3%29%29%2F%28%285%2F7%29%29=%282%2F3%29%2A%287%2F5%29
After that, you can multiply and do some simplifying

Some teachers would accept
or

but many teachers do not like crossouts. They want students to understand that the cancelling out is a question of factoring out those expressions that are equivalent to 1. Their problem is that students may start happily crossing out stuff based on made up crossing out rules that do not make sense, without understanding what they are doing, and end up with expressions that are not equivalent.
2. %28r%5E2-4%29%2F%28r%2B2%29%5E2
"Simplify by removing factors of 1," tells me that crossouts are not allowed (at least until your teachers decides you understand cancelling out and will not do crazy crossing out).
You need to factor r%5E2-4 first:

3. You probably meant [(a+8)/(a-3)]/[(8a+64)/(a-8)]=%28%28a%2B8%29%2F%28a-3%29%29%2F%28%288a%2B64%29%2F%28a-8%29%29
The meaning changes if you leave out parentheses. Luckily those horizontal fraction bars come with two invisible sets of parenthesis included: one enclosing the numerator expression and the other enclosing the denominator.
The strategies are similar to the ones used for problems 1 and 2 above.

4. %28x-3%29%2F%28x%2B2%29+=+4%2F7 --> %28x%2B2%29%28x-3%29%2F%28x%2B2%29+=+4%28x%2B2%29%2F7 --> x-3=+4%28x%2B2%29%2F7 --> 7%28x-3%29=+4%28x%2B2%29%2A7%2F7 --> 7%28x-3%29=+4%28x%2B2%29 --> 7x-21=+4x%2B8 --> 7x-21-4x=+4x%2B8-4x --> 3x-21=+8 --> 3x-21%2B21=+8%2B21 --> 3x=29 --> 3x%2F3=29%2F3 --> x=29%2F3
5. =3%2A16%2Ay%5E6q%5E7%2F%289%2A4%2Ayq%5E5%29=%283%2A16%2F%289%2A4%29%29%28y%2Ay%5E5%2Aq%5E2%2Aq%5E5%2Fyq%5E5%29=%284%2F3%29%28y%2Fy%29%28q%5E5%2Fq%5E5%29%28y%5E5%2Aq%5E2%2F1%29=4y%5E5%2Aq%5E2%2F3