SOLUTION: We are in rational expressions there is no book here is problem that I have x^2 + x - 2 / x^2 - 1 = My final answer is (x+2) / (x + 1) I have conflicting answers from one o

Algebra ->  Polynomials-and-rational-expressions -> SOLUTION: We are in rational expressions there is no book here is problem that I have x^2 + x - 2 / x^2 - 1 = My final answer is (x+2) / (x + 1) I have conflicting answers from one o      Log On


   



Question 57478: We are in rational expressions there is no book here is problem that I have
x^2 + x - 2 / x^2 - 1 =
My final answer is (x+2) / (x + 1) I have conflicting answers from one of my fellow students. Could you please help?
Thanks,
dnn

Answer by funmath(2933) About Me  (Show Source):
You can put this solution on YOUR website!
Hi dnn,
Tell your fellow student that you rule and they drool!!! You're right.
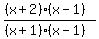
%28x%5E2%2Bx-2%29%2F%28x%5E2-1%29
%28%28x%2B2%29%28x-1%29%29%2F%28%28x%2B1%29%28x-1%29%29
%28%28x%2B2%29%2Across%28%28x-1%29%29%29%2F%28%28x%2B1%29%2Across%28%28x-1%29%29%29
%28x%2B2%29%2F%28x%2B1%29
Happy Calculating!!!