SOLUTION: I did not see anything on rational expressions. can you assist me is solving this problem? -2x-8 / x(square)+ 2x-8

Algebra ->  Polynomials-and-rational-expressions -> SOLUTION: I did not see anything on rational expressions. can you assist me is solving this problem? -2x-8 / x(square)+ 2x-8      Log On


   



Question 56048: I did not see anything on rational expressions. can you assist me is solving this problem?

-2x-8 / x(square)+ 2x-8

Answer by funmath(2933) About Me  (Show Source):
You can put this solution on YOUR website!
%28-2x-8%29%2F%28x%5E2%2B2x-8%29
Factor completely and cancel the things that match in the denominator and numerator.
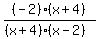
%28-2%29%28x%2B4%29%2F%28%28x%2B4%29%28x-2%29%29
%28-2%29%2Across%28%28x%2B4%29%29%2F%28cross%28%28x%2B4%29%29%2A%28x-2%29%29
highlight%28%28-2%29%2F%28x-2%29%29
Happy Calculating!!!