SOLUTION: I really need some help. I am back to school after 30 years and I don't have a clue. Here is the equation: 6r-18divided by 9r^2+6r-24 times 12r-16 divided by 4r-12 Thanks

Algebra ->  Polynomials-and-rational-expressions -> SOLUTION: I really need some help. I am back to school after 30 years and I don't have a clue. Here is the equation: 6r-18divided by 9r^2+6r-24 times 12r-16 divided by 4r-12 Thanks       Log On


   



Question 55505This question is from textbook Mathematics with Applications
: I really need some help. I am back to school after 30 years and I don't have a clue. Here is the equation:
6r-18divided by 9r^2+6r-24 times 12r-16 divided by 4r-12
Thanks
Lynn
This question is from textbook Mathematics with Applications

Answer by ankor@dixie-net.com(22740) About Me  (Show Source):
You can put this solution on YOUR website!
6r-18divided by 9r^2+6r-24 times 12r-16 divided by 4r-12
:
%286r-18%29%2F%289r%5E2%2B6r-24%29 * %2812r-16%29%2F%284r-12%29
:
Concentrate on (9r^2 + 6r - 24), simplify and factor if possible:
3(3r^2 + 2r - 8) can be further factored to: 3(3x - 4)(x + 2), factoring the others is pretty easy, you will have:
:
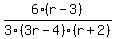
6%28r-3%29%2F3%283r-4%29%28r%2B2%29 * 4%283r-4%29%2F4%28r-3%29
:
Can do some major cancelling here: 3 into 6, 4 into 4, leaving us with:
2%28r-3%29%2F%283r-4%29%28r%2B2%29 * %283r-4%29%2F%28r-3%29
:
you know that you can cancel across the "*" so you can cancel (r-3) & (3r-4):
2%2F%28r%2B2%29 is what's left
:
Usually when they give you these problems, a lot of factoring can be done, so look for that first.