SOLUTION: How do I find "all real zeros" of the function? f(x) = x^3-3x^2-x+3
Algebra
->
Polynomials-and-rational-expressions
-> SOLUTION: How do I find "all real zeros" of the function? f(x) = x^3-3x^2-x+3
Log On
Algebra: Polynomials, rational expressions and equations
Section
Solvers
Solvers
Lessons
Lessons
Answers archive
Answers
Click here to see ALL problems on Polynomials-and-rational-expressions
Question 54595
:
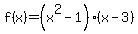
How do I find "all real zeros" of the function?
f(x) = x^3-3x^2-x+3
Answer by
psbhowmick(878)
(
Show Source
):
You can
put this solution on YOUR website!
Thus f(x) becomes zero when x = -1,1,3. Hence f(-1), f(1), f(3) are the zeros.