SOLUTION: please help me simplify: 6x^2 +3x - 18 / 2x+4

Algebra ->  Polynomials-and-rational-expressions -> SOLUTION: please help me simplify: 6x^2 +3x - 18 / 2x+4      Log On


   



Question 536621: please help me simplify:
6x^2 +3x - 18 / 2x+4

Found 2 solutions by jim_thompson5910, mananth:
Answer by jim_thompson5910(35256) About Me  (Show Source):
You can put this solution on YOUR website!
%286x%5E2%2B3x-18%29%2F%282x%2B4%29 Start with the given expression.


%283%28x%2B2%29%282x-3%29%29%2F%282x%2B4%29 Factor 6x%5E2%2B3x-18 to get 3%28x%2B2%29%282x-3%29.


%283%28x%2B2%29%282x-3%29%29%2F%282%28x%2B2%29%29 Factor 2x%2B4 to get 2%28x%2B2%29.


%28%283%29highlight%28%28x%2B2%29%29%282x-3%29%29%2F%28%282%29highlight%28%28x%2B2%29%29%29 Highlight the common terms.


%28%283%29cross%28%28x%2B2%29%29%282x-3%29%29%2F%28%282%29cross%28%28x%2B2%29%29%29 Cancel out the common terms.


%283%282x-3%29%29%2F%282%29 Simplify.


%286x-9%29%2F%282%29 Distribute.


So %286x%5E2%2B3x-18%29%2F%282x%2B4%29 simplifies to %286x-9%29%2F%282%29.


In other words, %286x%5E2%2B3x-18%29%2F%282x%2B4%29=%286x-9%29%2F%282%29


If you need more help, email me at jim_thompson5910@hotmail.com

Also, please consider visiting my website: http://www.freewebs.com/jimthompson5910/home.html and making a donation. Thank you

Jim

Answer by mananth(16946) About Me  (Show Source):
You can put this solution on YOUR website!
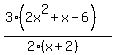
%286x%5E2+%2B3x+-+18%29+%2F%28+2x%2B4%29
%283%282x%5E2+%2Bx+-+6%29%29+%2F%282%28+x%2B2%29%29

%283%282x%5E2%2B4x-3x-6%29%29%2F%282%28x%2B2%29%29
%283%282x%28x%2B2%29-3%28x%2B2%29%29%29%2F%282%28x%2B2%29%29

%283%28x%2B2%29%282x-3%29%29%2F%282%28x%2B2%29%29
%283%2F2%29%2A%282x-3%29
m.ananth@hotmail.ca