SOLUTION: How do you factor 4x^2 + 9x + 2 NOTE: the ^2 is a exponent, not sure how else to write them here.
Algebra
->
Polynomials-and-rational-expressions
-> SOLUTION: How do you factor 4x^2 + 9x + 2 NOTE: the ^2 is a exponent, not sure how else to write them here.
Log On
Algebra: Polynomials, rational expressions and equations
Section
Solvers
Solvers
Lessons
Lessons
Answers archive
Answers
Click here to see ALL problems on Polynomials-and-rational-expressions
Question 531151
:
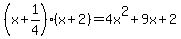
How do you factor 4x^2 + 9x + 2
NOTE: the ^2 is a exponent, not sure how else to write them here.
Answer by
josmiceli(19441)
(
Show Source
):
You can
put this solution on YOUR website!
Use quadratic formula
and
The factors are: