SOLUTION: Please help me solve this question: z-5/z-9 - z+1/z+9 + z-81/z^2-81 Thank you for your help!

Algebra ->  Polynomials-and-rational-expressions -> SOLUTION: Please help me solve this question: z-5/z-9 - z+1/z+9 + z-81/z^2-81 Thank you for your help!      Log On


   



Question 523148: Please help me solve this question:
z-5/z-9 - z+1/z+9 + z-81/z^2-81
Thank you for your help!

Answer by mananth(16946) About Me  (Show Source):
You can put this solution on YOUR website!

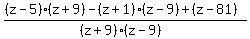
LCD = (z^2-81)
%28%28z-5%29%28z%2B9%29-%28z%2B1%29%28z-9%29%2B%28z-81%29%29%2F%28%28z%2B9%29%28z-9%29%29

%28%28z%5E2%2B4z-45%29-%28z%5E2-8z-9%29%2B%28z-81%29%29%2F%28%28z%2B9%29%28z-9%29%29
%28z%5E2%2B4z-45-z%5E2%2B8z%2B9%2Bz-81%29%2F%28%28z%2B9%29%28z-9%29%29
%2813z-117%29%2F%28%28z%2B9%29%28z-9%29%29
%2813%28cross%28z-9%29%29%29%2F%28%28z%2B9%29%28cross%28z-9%29%29%29

13%2F%28z%2B9%29