SOLUTION: Simplify Rational Fraction: x^2-9x+20 / 20-5x 4x^3 + 4 / x^2 - 1

Algebra ->  Polynomials-and-rational-expressions -> SOLUTION: Simplify Rational Fraction: x^2-9x+20 / 20-5x 4x^3 + 4 / x^2 - 1      Log On


   



Question 522507: Simplify Rational Fraction:
x^2-9x+20 / 20-5x

4x^3 + 4 / x^2 - 1

Answer by Earlsdon(6294) About Me  (Show Source):
You can put this solution on YOUR website!
Simplify:
1) %28x%5E2-9x%2B20%29%2F%2820-5x%29 Factor the numerator and the denominator.
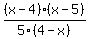
%28x-4%29%28x-5%29%2F5%284-x%29 Rewrite the denominator.
cross%28%28x-4%29%29%28x-5%29%2F%28-5%2Across%28%28x-4%29%29%29 Cancel the indicated factors to get:
%28x-5%29%2F-5
2) %284x%5E3%2B4%29%2F%28x%5E2-1%29 Factor the numerator and the denominator.
4%28x%5E3%2B1%29%2F%28%28x-1%29%28x%2B1%29%29 Factor the sum of cubes in the numerator.
4%2Across%28%28x%2B1%29%29%28x%5E2-x%2B1%29%2F%28x-1%29cross%28%28x%2B1%29%29 Cancel the indicated factors.
4%28x%5E2-x%2B1%29%2F%28x-1%29