Question 5225: find real solutions.
Thanks Caroline
Answer by ichudov(507) (Show Source):
You can put this solution on YOUR website! Caroline,
Try using y instead of . x is squared, or . So, your original equation becomes
. I will use my pluggable quadratic solver now:
Solved by pluggable solver: SOLVE quadratic equation with variable |
Quadratic equation (in our case ) has the following solutons:

For these solutions to exist, the discriminant should not be a negative number.
First, we need to compute the discriminant : .
Discriminant d=25 is greater than zero. That means that there are two solutions: .


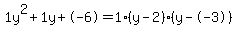
Quadratic expression can be factored:

Again, the answer is: 2, -3.
Here's your graph:
 |
since y is sqrt(x), y cannot be negative, so solution -3 is invalid. You have y=2, y is , so x is 4.
|
|
|