SOLUTION: Please help me solve this multiply or divide as indicated:
x^4 / x^3-3x^2
_____ ________
x^2-4 / x^2-5x+6
This is what I have so far x^4 * (x-2)(x-3)
Algebra ->
Polynomials-and-rational-expressions
-> SOLUTION: Please help me solve this multiply or divide as indicated:
x^4 / x^3-3x^2
_____ ________
x^2-4 / x^2-5x+6
This is what I have so far x^4 * (x-2)(x-3)
Log On
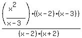
Question 521506: Please help me solve this multiply or divide as indicated:
x^4 / x^3-3x^2
_____ ________
x^2-4 / x^2-5x+6
This is what I have so far x^4 * (x-2)(x-3)
________ _________
(x-2)(x+2) * x^2(x-3)
This is what I believe is the answer x^2
_____
x+2
I just want to make sure I simplified and canceled out properly
Thank you for any help Answer by Maths68(1474) (Show Source):