SOLUTION: Multiply or Divide,show each step to answer 4x^2-1 --------- x^2-2X-1 divided by x-2 _____ x^2+1
Algebra
->
Polynomials-and-rational-expressions
-> SOLUTION: Multiply or Divide,show each step to answer 4x^2-1 --------- x^2-2X-1 divided by x-2 _____ x^2+1
Log On
Algebra: Polynomials, rational expressions and equations
Section
Solvers
Solvers
Lessons
Lessons
Answers archive
Answers
Click here to see ALL problems on Polynomials-and-rational-expressions
Question 5099
:
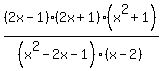
Multiply or Divide,show each step to answer
4x^2-1
---------
x^2-2X-1
divided by
x-2
_____
x^2+1
Answer by
rapaljer(4671)
(
Show Source
):
You can
put this solution on YOUR website!
divided by
Invert the second fraction and multiply. FACTOR everything you can factor!
This is unusual in that nothing divides out, so it does not reduce. Did you copy this problem correctly? Is it a trick question??
R^2 at SCC