SOLUTION: 1/r + 2/(1- r) = 4/r^2 ; solve for r

Algebra ->  Polynomials-and-rational-expressions -> SOLUTION: 1/r + 2/(1- r) = 4/r^2 ; solve for r      Log On


   



Question 498182: 1/r + 2/(1- r) = 4/r^2 ; solve for r
Answer by MathLover1(20850) About Me  (Show Source):
You can put this solution on YOUR website!

1%2Fr+%2B+2%2F%281-+r%29+=+4%2Fr%5E2 ; solve for r

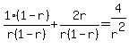
1%281-+r%29%2Fr%281-+r%29+%2B+2r%2Fr%281-+r%29+=+4%2Fr%5E2

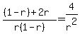
%28%281-+r%29%2B+2r%29%2Fr%281-+r%29+=+4%2Fr%5E2

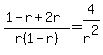
%281-+r%2B+2r%29%2Fr%281-+r%29+=+4%2Fr%5E2

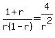
%281%2Br%29%2Fr%281-+r%29+=+4%2Fr%5E2....cross multiply

%281%2Br%29r%5E2+=+4%2Ar%281-+r%29

r%5E2%2Br%5E3+=+4r-+4r%5E2%29

r%5E2%2Br%5E3+-4r%2B+4r%5E2=0%29

r%5E3%2B+5r%5E2-4r=0%29

r%28r%5E2%2B+5r-4%29=0%29
solutions:
first: highlight%28r=0%29
second and third:
r%5E2%2B+5r-4=0%29...use quadratic formula to solve for r
r+=+%28-b+%2B-+sqrt%28+b%5E2-4%2Aa%2Ac+%29%29%2F%282%2Aa%29+
r+=+%28-5+%2B-+sqrt%28+5%5E2-4%2A1%2A%28-4%29+%29%29%2F%282%2A1%29+
r+=+%28-5+%2B-+sqrt%28+25%2B16+%29%29%2F2+
r+=+%28-5+%2B-+sqrt%28+41+%29%29%2F2+
r+=+%28-5+%2B-+6.4%29%2F2+

r+=+%28-5+%2B6.4%29%2F2+
r+=+%281.4%29%2F2+
highlight%28r+=+0.7%29+
or
r+=+%28-5+-6.4%29%2F2+
r+=+%28-11.4%29%2F2+
highlight%28r+=+-5.7%29+