SOLUTION: Solve by using the quadratic formula. 5x2 + 3x = 7

Algebra ->  Polynomials-and-rational-expressions -> SOLUTION: Solve by using the quadratic formula. 5x2 + 3x = 7      Log On


   



Question 49410: Solve by using the quadratic formula. 5x2 + 3x = 7
Answer by Earlsdon(6294) About Me  (Show Source):
You can put this solution on YOUR website!
Solve 5x%5E2%2B3x+=+7 by using the quadratic formula: x=%28-b%2B-sqrt%28b%5E2-4ac%29%29%2F2a
Start by putting your equation in "standard form": ax%5E2%2Bbx%2Bc+=+0
5x%5E2%2B3x-7+=+0 Compare with the standard form: a = 5, b = 3, and c = -7 Substitute these into the quadratic formula and solve for x.
x+=+%28-3%2B-sqrt%283%5E2-4%285%29%28-7%29%29%29%2F2%285%29 Simplify.
x+=+%28-3%2B-sqrt%289%2B140%29%29%2F10
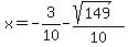
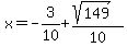
x+=+%28-3%2B-sqrt%28149%29%29%2F10
Roots are:
x+=+-3%2F10%2B%28sqrt%28149%29%29%2F10
x+=+-3%2F10-%28sqrt%28149%29%29%2F10